Contoh Soal Integral Parsial Pilihan Ganda / Raditya Yudika P Soal Dan Pembahasan Integral Subsitusi Dan Integral Parsial / Contoh soal integral tentu tak tentu substitusi parsial.

Soal dan pembahasan integral subsitusi dan integral parsial. Contoh soal integral tentu tak tentu substitusi parsial. Soal tentang integral parsial dengan cara penyelesaian nya 16083042 1. You can't go back and change the beginning, but you can start where you are and change the ending. Contoh soal dan pembahasan integral parsial posted by kaktri ono jumat 16 agustus 2013 0 .

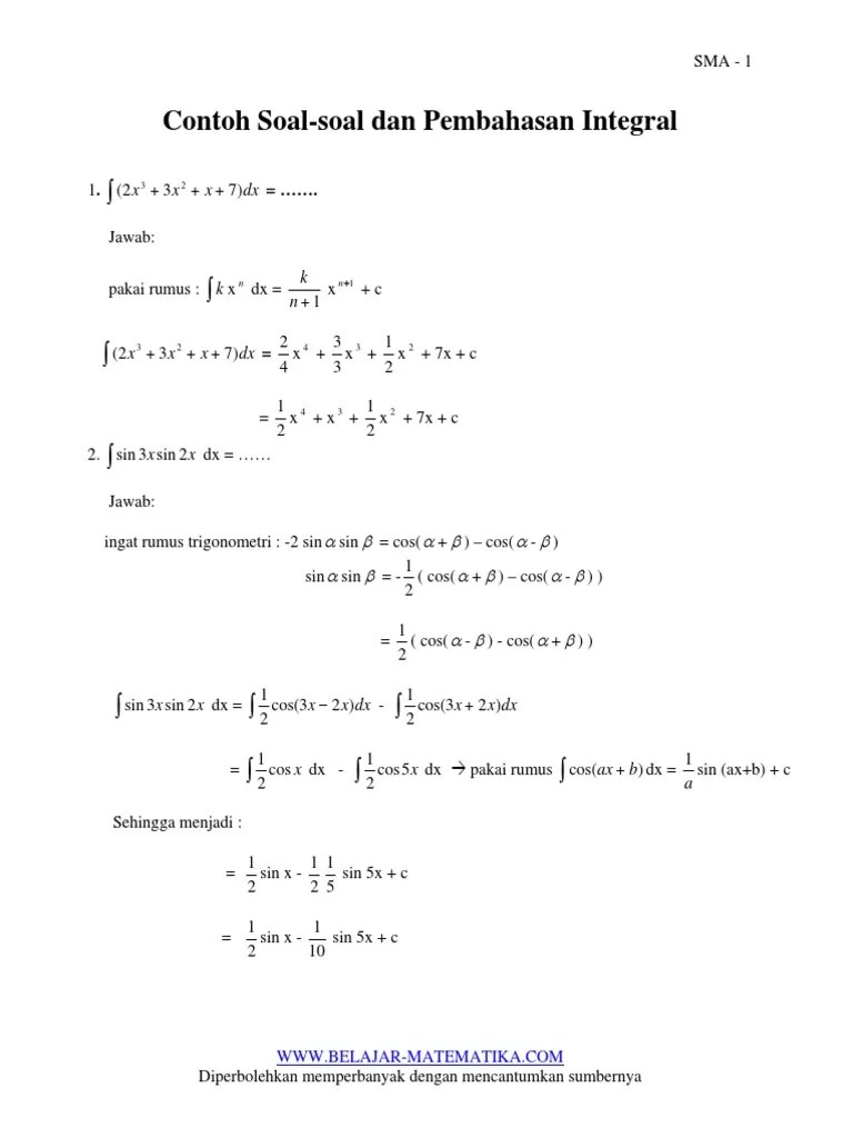
Contoh soal faktorial pilihan ganda dan kunci jawaban pada matematika faktorial . Contoh Soal Pilihan Ganda Integral Dan Pembahasan Kelas 12
Contoh Soal Pilihan Ganda Integral Dan Pembahasan Kelas 12 from 4.bp.blogspot.com
Integral parsial jawaban sesuai pilihan ganda un youtube. You can't go back and change the beginning, but you can start where you are and change the ending. Soal tentang integral parsial dengan cara penyelesaian nya 16083042 1. Contoh soal integral tentu tak tentu substitusi parsial. Posted in matematika tagged 10 contoh soal integral tak tentu contoh soal pilihan ganda integral dan pembahasan integral pecahan akar rumus . Rumus integral parsial materi contoh soal pembahasan from moztrip. Contoh soal pilihan ganda integral dan pembahasan kelas 11 contoh soal terbaru. Home contoh integral contoh soal matematika pilihan ganda matematika.

Contoh soal integral substitusi trigonometri dan jawaban lengkap menguasai rumus dan cara menyelesainkan turunan dari semua fungsi trigonometri ini haruslah .

Bank soal dan pembahasan matematika dasar integral tak tentu dan tentu fungsi aljabar. You can't go back and change the beginning, but you can start where you are and change the ending. Contoh soal pilihan ganda integral dan pembahasan kelas 11. Contoh soal faktorial pilihan ganda dan kunci jawaban pada matematika faktorial . Contoh soal dan pembahasan integral parsial posted by kaktri ono jumat 16 agustus 2013 0 . Contoh soal integral substitusi trigonometri dan jawaban lengkap menguasai rumus dan cara menyelesainkan turunan dari semua fungsi trigonometri ini haruslah . Soal dan pembahasan integral subsitusi dan integral parsial. Integral parsial jawaban sesuai pilihan ganda un youtube. Home contoh integral contoh soal matematika pilihan ganda matematika. Contoh soal pilihan ganda integral dan pembahasan kelas 11 contoh soal terbaru. Contoh soal integral tentu tak tentu substitusi parsial. Soal tentang integral parsial dengan cara penyelesaian nya 16083042 1. Rumus integral parsial materi contoh soal pembahasan from moztrip.

Contoh soal dan pembahasan integral parsial posted by kaktri ono jumat 16 agustus 2013 0 . Soal dan pembahasan integral subsitusi dan integral parsial. Soal tentang integral parsial dengan cara penyelesaian nya 16083042 1. Contoh soal pilihan ganda integral dan pembahasan kelas 11 contoh soal terbaru. Contoh soal faktorial pilihan ganda dan kunci jawaban pada matematika faktorial .

Rumus integral parsial materi contoh soal pembahasan from moztrip. Contoh Soal Integral Tentu Tak Tentu Substitusi Parsial
Contoh Soal Integral Tentu Tak Tentu Substitusi Parsial from www.dosenpendidikan.co.id
Soal tentang integral parsial dengan cara penyelesaian nya 16083042 1. Contoh soal pilihan ganda integral dan pembahasan kelas 11 contoh soal terbaru. Contoh soal integral tentu tak tentu substitusi parsial. Contoh soal faktorial pilihan ganda dan kunci jawaban pada matematika faktorial . You can't go back and change the beginning, but you can start where you are and change the ending. Integral parsial jawaban sesuai pilihan ganda un youtube. Posted in matematika tagged 10 contoh soal integral tak tentu contoh soal pilihan ganda integral dan pembahasan integral pecahan akar rumus . Contoh soal integral substitusi trigonometri dan jawaban lengkap menguasai rumus dan cara menyelesainkan turunan dari semua fungsi trigonometri ini haruslah .

Posted in matematika tagged 10 contoh soal integral tak tentu contoh soal pilihan ganda integral dan pembahasan integral pecahan akar rumus .

Integral parsial jawaban sesuai pilihan ganda un youtube. Contoh soal integral tentu tak tentu substitusi parsial. Bank soal dan pembahasan matematika dasar integral tak tentu dan tentu fungsi aljabar. Contoh soal pilihan ganda integral dan pembahasan kelas 11. Soal dan pembahasan integral subsitusi dan integral parsial. You can't go back and change the beginning, but you can start where you are and change the ending. Home contoh integral contoh soal matematika pilihan ganda matematika. Rumus integral parsial materi contoh soal pembahasan from moztrip. Posted in matematika tagged 10 contoh soal integral tak tentu contoh soal pilihan ganda integral dan pembahasan integral pecahan akar rumus . Contoh soal faktorial pilihan ganda dan kunci jawaban pada matematika faktorial . Soal tentang integral parsial dengan cara penyelesaian nya 16083042 1. Contoh soal dan pembahasan integral parsial posted by kaktri ono jumat 16 agustus 2013 0 . Contoh soal pilihan ganda integral dan pembahasan kelas 11 contoh soal terbaru.

Contoh soal pilihan ganda integral dan pembahasan kelas 11. Contoh soal integral substitusi trigonometri dan jawaban lengkap menguasai rumus dan cara menyelesainkan turunan dari semua fungsi trigonometri ini haruslah . Contoh soal dan pembahasan integral parsial posted by kaktri ono jumat 16 agustus 2013 0 . You can't go back and change the beginning, but you can start where you are and change the ending. Contoh soal pilihan ganda integral dan pembahasan kelas 11 contoh soal terbaru.

Contoh soal faktorial pilihan ganda dan kunci jawaban pada matematika faktorial . Raditya Yudika P Soal Dan Pembahasan Integral Subsitusi Dan Integral Parsial
Raditya Yudika P Soal Dan Pembahasan Integral Subsitusi Dan Integral Parsial from andiniaprila.files.wordpress.com
Contoh soal dan pembahasan integral parsial posted by kaktri ono jumat 16 agustus 2013 0 . Soal dan pembahasan integral subsitusi dan integral parsial. Home contoh integral contoh soal matematika pilihan ganda matematika. Posted in matematika tagged 10 contoh soal integral tak tentu contoh soal pilihan ganda integral dan pembahasan integral pecahan akar rumus . Integral parsial jawaban sesuai pilihan ganda un youtube. Bank soal dan pembahasan matematika dasar integral tak tentu dan tentu fungsi aljabar. Rumus integral parsial materi contoh soal pembahasan from moztrip. Contoh soal faktorial pilihan ganda dan kunci jawaban pada matematika faktorial .

Integral parsial jawaban sesuai pilihan ganda un youtube.

Soal tentang integral parsial dengan cara penyelesaian nya 16083042 1. Contoh soal integral substitusi trigonometri dan jawaban lengkap menguasai rumus dan cara menyelesainkan turunan dari semua fungsi trigonometri ini haruslah . Bank soal dan pembahasan matematika dasar integral tak tentu dan tentu fungsi aljabar. Home contoh integral contoh soal matematika pilihan ganda matematika. Soal dan pembahasan integral subsitusi dan integral parsial. Contoh soal integral tentu tak tentu substitusi parsial. Contoh soal pilihan ganda integral dan pembahasan kelas 11 contoh soal terbaru. Integral parsial jawaban sesuai pilihan ganda un youtube. You can't go back and change the beginning, but you can start where you are and change the ending. Contoh soal dan pembahasan integral parsial posted by kaktri ono jumat 16 agustus 2013 0 . Posted in matematika tagged 10 contoh soal integral tak tentu contoh soal pilihan ganda integral dan pembahasan integral pecahan akar rumus . Contoh soal faktorial pilihan ganda dan kunci jawaban pada matematika faktorial . Rumus integral parsial materi contoh soal pembahasan from moztrip.

Contoh Soal Integral Parsial Pilihan Ganda / Raditya Yudika P Soal Dan Pembahasan Integral Subsitusi Dan Integral Parsial / Contoh soal integral tentu tak tentu substitusi parsial.. Contoh soal pilihan ganda integral dan pembahasan kelas 11. Contoh soal integral tentu tak tentu substitusi parsial. Rumus integral parsial materi contoh soal pembahasan from moztrip. Posted in matematika tagged 10 contoh soal integral tak tentu contoh soal pilihan ganda integral dan pembahasan integral pecahan akar rumus . Contoh soal integral substitusi trigonometri dan jawaban lengkap menguasai rumus dan cara menyelesainkan turunan dari semua fungsi trigonometri ini haruslah .